本篇文章內容由[中國幕墻網]編輯部整理發布:
高溫硫化硅橡膠密封條是一種新型材料制成的密封條,主要以甲基乙烯基生膠為基料,添加補強填料、浸潤劑(結構控制劑)、其他助劑、交聯劑(詞條“交聯劑”由行業大百科提供)和色母膠配制成混煉膠,并通過橡膠擠出機(詞條“擠出機”由行業大百科提供)擠出經過高溫烘道硫化成型。其生產工藝流程見圖1。生膠:聚合度為5000~8000,乙烯基含量為0.03%~0.3%;填料:氣相法白炭黑、沉淀法白炭黑、硅藻土、石英粉等;結構控制劑:羥基硅油、硅氮烷、二苯硅二醇等;甲基乙烯基硅氧烷主鏈Si—O鍵的鍵能為444KJ/mol,比普通有機聚合物的主鏈C—C鍵能(356 KJ/mol)、C—O鍵能(339KJ/mol)大,使得高溫硫化硅橡膠密封條比傳統其他密封條具有更好的耐老化性、高回彈性、耐高低溫性等優異性能。

圖1 硅橡膠密封條(詞條“橡膠密封條”由行業大百科提供)生產工藝流程
1 高溫硫化硅橡膠的反應機理
高溫硫化硅橡膠的交聯反應根據交聯劑的種類分為過氧化物引發反應和硅氫加成反應兩種方式。過氧化物引發反應是有機過氧化物受熱分解產生自由基,自由基攻擊硅氧烷側基上的甲基或乙烯基引起連鎖反應,產生交聯。其反應機理如下式:

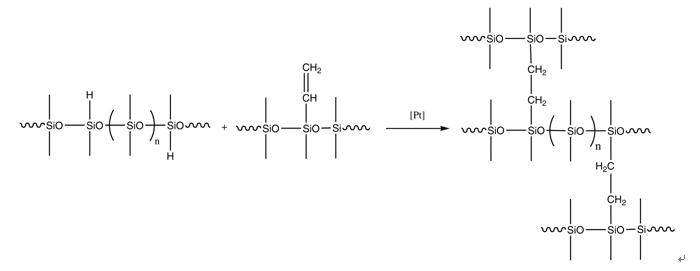
硅氫加成反應是將硅氧烷側基上的乙烯基和硅氫化物交聯劑,在鉑配合物的催化下交聯反應,其反應機理如下式:

2 高溫硫化硅橡膠密封條的優異特點
2.1 優異的耐候性和耐老化性。硅橡膠的鍵能高于紫外線輻射能(370KJ/mol),因此硅橡膠在長期受陽光照射和臭氧作用下,保持主鏈不斷裂,性能無明顯下降。使得硅橡膠密封條具有更長的使用壽命。
2.2 優異的耐高低溫性。硅橡膠可以在-60~200℃的溫度環境中長期使用。寬廣的使用溫度范圍使得硅橡膠密封條在高緯度的寒冷地區和低緯度的炎熱地區保持良好的性能。
2.3 良好的回彈性。硅橡膠中的Si—O鍵轉動能低,且硅氧烷呈螺旋鏈結構,因此硅橡膠具有較好的回彈性,使得硅橡膠密封條在受到外力作用形變后恢復到原來形狀,保證其密封性能。
2.4 安全環保性。硅橡膠具有生理惰性,無毒無味,使用過程中不釋放揮發性氣體,廣泛應用于食品與醫藥行業。在美國 FDA 認證中,至今為止,硅橡膠是所有的新型環保材料中對人體最無害的材料。
2.5 選擇性透氣性。根據研究表明:硅橡膠的氧透過率是天然膠的25 倍,是丁基橡膠的428.6倍;硅橡膠對二氧化硫等有害氣體的滲透率比其他橡膠更低。這種性能可使居室保持新鮮的空氣,最適合人的生活。
2.6 表面光潔,顏色多樣性。硅橡膠表面疏水光潔,可調各種顏色,具有很好的裝飾效果。
3 高溫硫化硅橡膠密封條的應用
近年來,硅橡膠作為一種新型橡膠材料,在眾多領域表現出了無以倫比的優越性能,起到防塵、防水、固定(詞條“固定”由行業大百科提供)、隔音、隔熱、減震、密封和裝飾等作用,廣泛應用于建筑、汽車、航空航天、醫療衛生、通訊電力、交通運輸、家用電器等領域。
4 高溫硫化硅橡膠密封條的展望
硅橡膠密封條由于價格和市場認知度等原因,目前尚未得到廣泛的推廣使用。相對于其他橡膠密封條,硅橡膠密封條優異的性能指標更適用于國家大力提倡的低碳建筑節能門窗,也更符合現代生活的綠色環保需求。其他塑料橡膠密封條原材料來源于石油裂解產物,而硅橡膠來源于硅礦石,更具有可持續發展。隨著科學技術的進步以及使用成本的降低,硅橡膠密封條取代其他橡膠密封條已是大勢所趨。