1、概述
本項目為
玻璃頂張弦梁工程,跨度24.6米。
張弦梁結構(Beam String Structure,簡稱BSS)的概念由日本M•Saitoh教授在20世紀80年代初首先提出,它得名于“弦通過
撐桿對梁進行張拉”這一基本形式,是雜交空間結構在大跨體系中的良好嘗試。張弦梁結構是由上弦剛性拱(或組合桁架)、撐桿以及下弦柔性索組成的自平衡受力體系,其合理地將各種構件(抗拉、抗壓、抗壓彎)組合在一起,充分發揮了其各自的材料力學性能,因而整個體系具有許多良好的受力性能。例如,弦的
預應力使結構產生反
撓度,故結構在
荷載作用下的最終撓度可以減小,從而提高結構的整體剛度。撐桿對抗彎受壓構件提供彈性支撐,改善后者的受力性能。
本設計采用目前應用較為成熟的結構分析軟件SAP2000進行了各種工況下的分析。根據相關規范驗算了所有桿件在各種工況下的
強度、穩定及剛度等。同時應用MIDAS軟件對其計算進行了復核,計算結果基本一致。
2、設計依據的規范及規程:
1)《預應力
鋼結構技術規程》(CECS212-2006)
2)《建筑結構荷載規范》(GB50001-2001)(2006年版)
3)《建筑
抗震設計規范》(GB50011-2001)(2008年版)
4)《鋼結構設計規范》(GB50017-2003)
5)《
建筑鋼結構焊接與驗收規程》(JGJ81-91)
6)《鋼結構工程施工與驗收規范》(GB50205-95)
7)《鋼結構工程質量檢驗評定標準》(GB50221-95)
3、荷載計算:

6)預應力荷載:
以施加溫度荷載的方式對下弦單元施加預應力,對張弦梁而言,保持下弦始終處于受拉狀態是結構存在的必要條件。因此,對下弦
拉桿所施加的預應力應保證在
風荷載最不利工況下下弦拉桿仍處于受拉狀態。
4、荷載工況組合:
對于張弦梁結構,施工階段即施加預應力和自重階段,其非線性較強,而在其他荷載條件(如恒載、活載、風載等工況)下,若上弦梁剛度不是很小或者預加應力不是很大時,一般認為張弦梁結構非線性因素的影響可以忽略。本設計中,對YT+ZD(自重加預應力工況)進行非線性分析,以該分析的終點剛度對結構進行模態分析,對其余工況(恒載、活載、風載等)進行線性分析。
1)YT+ZD
此工況為自重加預應力工況,其中YT為預應力荷載,ZD為自重荷載。在施工過程中非線性較強,對其進行非線性分析。分項系數均為1.0。此工況在施工預拱階段,在各荷載施加時同時存在,分析時一并考慮。對張弦梁結構而言,保持拉索始終處于受拉狀態是結構存在的必要條件。對拉索施加足夠的預應力是一種有效的措施,但屋架的張拉一般在拼裝臺上進行,在此階段,拉索的預應力在克服結構自重后起拱并處于受張拉狀態。
2)YT+ZD+1.0D+0.5L
此工況主要用于控制結構施工完成后張弦梁的最終位形,其中D為恒荷載,L為活荷載。由于計算的活載較為保守,對其乘以0.5來計算張弦梁的最終位形。
3)D+L
此工況主要用于控制張弦梁結構的撓度,其中D為恒荷載,L為活荷載。
4)1.2D+1.4L+1.0(-TEMP)+1.32(YT+ZD)
此工況為張弦梁豎向最大受力工況,其中,D為恒荷載,L為活荷載,-TEMP為室外溫度降低到-30 時溫度荷載,YT+ZD為自重加預應力工況。《
預應力鋼結構技術規程》(CECS212-2006)3.2.1節可知,預應力分項系數γpi對結構有利時取1.0,不利時取1.2。而張拉系數γT由3.2.2節可知,當桿件的荷載應力與預應力符號相同,或符號相反但桿件的預應力值大于應力值時,張拉系數γT取1.1;當桿件荷載應力值大于預應力值且符號相反時,張拉系數γT取0.9。
對于此工況,YT+ZD工況分項系數應取1.2×1.1=1.32。以考慮此預應力工況對結構的不利影響。-TEMP工況下桿件受拉,因此考慮其的不利影響。
5)0.6D+1.4W+1.0(+TEMP)+0.9(YT+ZD)
此工況為風吸力控制工況,其中,D為恒荷載,W為風荷載,+TEMP為室外溫度升高到40 時溫度荷載,YT+ZD為自重加預應力工況。
張弦梁結構的設計必須考慮風吸力作用下的穩定問題。當風吸力大于屋蓋結構自重時,拉索松弛而退出工作,結構整體失效。對張弦梁結構而言,保持拉索始終處于受拉狀態是結構存在的必要條件。
在風吸力作用下,恒載屬于有利荷載,對其取分項系數0.6進行折減;另外,活載也是有利荷載,該工況不予考慮;風荷載為不利荷載,分項系數取1.4;+TEMP下結構受壓,考慮其不利影響;對于YT+ZD工況,根據《預應力鋼結構技術規程》(CECS212-2006)3.2.1節及3.2.2節可知,預應力分項系數γpi對結構有利且當桿件荷載應力值大于預應力值且符號相反;因此YT+ZD工況分項系數應取1.0×0.9=0.9。
設計時在對預應力的施加應保證在該工況下下弦仍處于受拉狀態。
6)1.2D+0.6L+1.0(+TEMP)+1.3EQZ+1.32(YT+ZD)
此工況主要考慮豎向地震對結構的影響,其中,D為恒荷載,L為活荷載,+TEMP為室外溫度升高到43 時溫度荷載,EQZ為地震荷載,YT+ZD為自重加預應力工況。
7)1.2D+0.6L+1.0(-TEMP)+1.3EQZ+0.9(YT+ZD)
此工況主要考慮豎向地震對結構的影響,需保證結構在此工況下下弦桿仍處于受拉狀態。其中,D為恒荷載,L為活荷載,-TEMP為室外溫度降低到-30 時溫度荷載,EQZ為地震荷載,YT+ZD為自重加預應力工況。
8)1.2halfdead+1.4halflive+1.0(-TEMP)+1.32(YT+ZD)
此工況主要考慮半跨荷載對結構的不利影響,其中,halfdead為半跨恒荷載,halflive為半跨活荷載,-TEMP為室外溫度降低到-30 時溫度荷載, YT+ZD為自重加預應力工況。
5、結構分析模型:
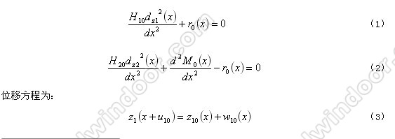
目前不同的研究對張弦梁結構提出了不同的力學模型,總的來說有2種:①將撐桿連續化,將整個結構看作是特殊的魚腹梁;②將梁(拱)離散成若干單元,用有限元方法進行分析。對張弦梁結構提出如下假設:①材料符合虎克定律;②拱梁與索之間的聯系撐桿是連續分布的,即把拱梁與索之間的離散力簡化為連續分布的作用力,并假定這些連續撐桿為剛性,不考慮其軸向變形;③曲梁的曲率半徑與截面高度之比R/h≥5,符合小曲率構件假設;④僅考慮小垂度和豎向荷載作用。
因張弦梁結構中的索通常屬于只拉不壓型非線性單元,因此計算時需考慮幾何大變形這一非線性因素。基于上述假設,考慮幾何非線性的影響,可列出以下平衡方程:



聯立以上各式,結合邊界條件即可求解。
張弦梁結構在施加預應力階段和使用荷載階段的計算均可采用以上各式,該法很好地體現了張弦梁結構的受力特性,采用的理論比較完善,基本假設與實際相符。但由于考慮幾何非線性,采用理論公式計算解析解并不現實,需借助計算機技術,采用數值方法解決。目前已能非常方便地解決相關問題,并在工程結構設計中得到成功應用。采用
有限元法建立結構計算模型可將張弦梁結構離散化為梁單元、索單元和桿單元。對梁可直接采用曲線形式,或將梁單元直線化,采用多段直線單元形式;對撐桿可采用二力桿單元;對下弦索考慮其幾何非線性,需建立單元剛度矩陣和整體剛度矩陣,通過數值方法求解。
6、結構模型與振型:
本結構采用目前應用較為成熟的結構分析軟件SAP2000設計。同時應用MIDAS軟件對其計算進行了復核。
上一頁12345下一頁