百頁遮陽光學性能計算可采用以下模型和假設:
1 板條為非鏡面反射,可以忽略窗戶邊緣的作用;
2 模型考慮兩個鄰近的板條,每條分為5個相等部分(見圖6.3-2);
3 可以忽略板條的輕微
撓曲。
圖6.3-2模型中分割示意圖
各層
構件數目確定后,采用下列公式進行計算。
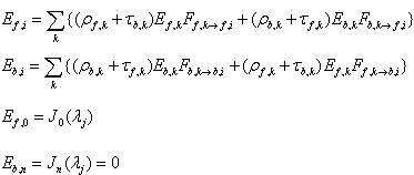
對于每層f,i和b,i ,i由0到n(這里 n=6),并對每一光譜間隔

:
散射—散射透過率:
等于室內環境的照度E
f.n(n=6),除以太陽輻射照度J
o:
散射—散射反射率:
直射—直射的透過率和反射率:
應依據百頁的角度和高厚比,按向前的幾何計算方法(見圖6.3-3),可計算給定入射角θ時穿過百頁未被遮擋光束的照度。
圖6.3-3 直射—直射透過率
對于任何波長

,傾角φ的直射—直射的透過率:

遮陽百葉透空的部分沒有反射:
直射一散射的透過率和反射率:
對給定入射角

,計算遮陽裝置中直接為

所輻射的部分k(見圖6.3-4)。
圖6.3-4 遮陽裝置中受到直射輻射的部分
在入射輻射J
0和直接受到輻射部分k之間的角系數為:

和

內、外環境之間視角系數為0:

和

解下列公式可得到直射—散射的透過率和反射率:
吸收率:
輻射中沒有被透過和反射的部分被吸收到
遮陽板件中,對每個波長段:
6.4 遮陽簾與門窗或幕墻系統組合的簡化計算
計算遮陽簾一類的遮陽裝置按類型可分為勻質幕簾和百葉幕簾,可統一用太陽輻射透射比和
反射比,以及可見光透射比和反射比表示。這些計算采用歐洲的標準prEN 13363-1。
τe,B 遮陽簾太陽能透射比
ρe,B 遮陽簾室外側太陽能反射比
ρ’e,B 遮陽簾室內側太陽能反射比
τv,B 遮陽簾可見光透射比
ρv,B 遮陽簾室外側光反射比
ρ’v,B 遮陽簾室內側光反射比
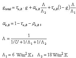
在遮陽裝置置于窗或幕墻室外側的情況下,太陽能總透射比g
total采用下式計算:

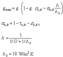
在遮陽裝置置于窗或幕墻室內側的情況下,太陽能總透射比g
total采用下式計算:

對于遮陽簾中置于兩
玻璃板之間的情形,太陽能總透射比g
total應采用下式計算:

對內遮陽和外遮陽簾,可用下列公式確定可見光總透射比:

對內遮陽和外遮陽簾,可用下式確定總太陽能直接透射比:
上一頁123下一頁