摘要歐洲標準以加速
耐久性相對表征
中空玻璃的使用壽命,依據該方法對我國40個企業雙道
密封中空玻璃進行了驗證試驗,統計表明膠層厚度在標準規定的范圍內,外道
密封膠類型對產品加速耐久性影響顯著,其中
硅酮型密封膠粘結的中空玻璃的耐久性尤為低下,是影響中空玻璃使用壽命的顯著因素。
關鍵詞中空玻璃密封耐久性試驗方法硅酮
聚硫密封膠
1.前言
建筑中空玻璃是相間隔玻璃周邊密封
粘接裝配的單元
構件,由密封膠粘結組成內外兩道阻隔濕氣的密封層,滲入的濕氣由間隔框內的
干燥劑吸收,腔內氣體的持續
干燥是
隔熱功能的基礎。粘結構造和滲透路徑參見圖1。干燥劑吸收透過密封層滲入的水蒸氣,質量不斷增加,直至吸濕飽和,表征是中空玻璃
結露、凝水,即產品功能壽命終結。按透濕通道尺寸、密封膠水
滲透率和干燥劑吸濕能力,理論推算中空玻璃壽命應在30年以上,但實際應用中相差甚遠,有些建筑工程交付僅幾年就出現中空玻璃凝露,主要因素是產品設計、選材和操作工藝失當或不正確的安裝,在環境水、水蒸汽、紫外線
輻射及化學介質的侵蝕,
風荷載、大氣壓力及溫度變化產生的氣壓差作用下,邊緣密封粘結體反復承載并循環
變形,加速密封粘結體
降解、粘接密封性劣化引發早期失效。
試驗表明,紫外線輻照、高低溫或高濕等條件下的加速
老化試驗,可評估結構及密封膠劣化趨勢,但評定耐久壽命的有效方法應以
分子篩在使用條件下的吸水質量變化表征,評估其飽和吸濕的期限,該試驗方法已為國際標準化組織采用。研究表明溫度-濕度的循環變化會促使濕氣滲透,特別在持續高溫高濕條件下腔內氣體膨脹,
硬化的高
模量邊緣粘結體產生超高
應力(如在溫度58℃時中空玻璃腔內氣壓可達13kpa),使濕氣滲透加速 。結合多年現場經驗和研究結果,歐洲標準EN1279《建筑用玻璃-中空玻璃》采用《中空玻璃水氣滲透耐久性測試方法》,以干燥劑飽和
吸水率、最初
含水率和試驗后的最終含水率,計算中空玻璃的水分滲透指數,表征產品的密封耐久性 。該方法具有較好科學性及適用性,歐洲玻璃粘結裝配結構認證指南確認,符合EN1279標準取得產品質量認證的中空玻璃,將獲得25年使用壽命。

圖1 中空玻璃粘結密封結構及滲透路徑
參照歐洲標準,該方法將納入我國新修訂的《中空玻璃》標準,要求經高低溫循環試驗28天后,再在58℃高溫高濕條件下持續試驗49天,中空玻璃的水分滲透指數不大于0.20。主編單位國家玻璃質量監督檢驗中心對40組樣品的加速耐久性的驗證試驗,表明該方法的有效性和適用性 。本文著重對影響試驗結果的主要因素進行分析,以探明中空玻璃外層密封膠的類型對中空玻璃使用壽命的影響。
2.加速耐久性試驗
2.1. 試件
每組試樣15塊,按同一工藝條件和材料制備,規格為510mm×360mm,試件露點應≤-40℃。
2.2. 試樣設備
試驗箱應能提供兩階段試驗條件:
1. 高低溫循環階段:溫度從-18℃至53℃循環升溫和降溫,每12h一個溫度循環,升溫或降溫速度為14℃/h,持續循環58次(28天);
2. 高溫試驗階段:溫度58℃保持7周(49天)
兩階段中在試驗溫度高于23℃時,箱內的
相對濕度應≥95%。
2.3. 試驗程序
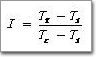
取4塊試件,分解后測定其干燥劑的初始含水率(Ti,%)
取5塊試件,試驗處理77天終結時分解,測定干燥劑的最終含水率(Tf,%);
取2塊試件,分解后對干燥劑取樣,經飽和吸水至恒重,再行950℃或350℃高溫處理120min,測定標準吸水率(Tc,%),即試件干燥劑的飽和吸水能力。
加速耐久性以水分滲透指數(I)表示,按下式計算,取5個試件I值的平均值,修約至小數點后兩位:

3.試驗結果及分析
驗證試驗選取國內各類型企業共40組試樣,其中兩道密封的外層密封膠為聚硫型的20組,硅酮型19組。僅有一組采用
熱熔型密封膠密封。
3.1. 試驗結果
試驗測定了各組試件內外兩道密封的粘結寬度,試驗測定各組試件的水分滲透指數,試驗結果列于表1。
表1 中空玻璃加速耐久性試驗結果


3.2. 統計分析
3.2.1.40組樣品加速耐久性總體水平
樣品來自40個中空
玻璃企業,相對國內產品的技術水平具有一定的代表性。已知各組試件的密封膠類型,測定了試件外層密封的粘結寬度和
丁基膠粘結寬度(圖1)。
丁基膠厚度難以測量,密封膠牌號不詳,制作工藝水平也不盡相同,這些因素對試驗結果也會有影響。為評估樣品的加速耐久性能,本項分析剔除三組(22#、27#、38#)缺陷樣品,以I值為隨機變量,按正態分布統計其余37組樣品的水透率指數,結果表明總體均值為0.1679,方差0.1044,極大值0.55,按信度0.05水平(置信度95%)檢驗,總體I值≤0.20 的概率為62%(圖2陰影部分面積)。

圖2總體水滲透指數分布及合格概率
3.2.2.外道膠類型對I值的影響
37組樣品的外層分別采用聚硫和硅酮型密封膠,其中硅酮型樣品19組,I值的平均值為0.2063,方差0.1116,極大值0.55, 信度0.05水平檢驗I值≤0.20 的概率為48%(圖3);聚硫型樣品18組,I值平均值為0.1165,方差0.0789,極大值0.29, 信度0.05水平評估I值≤0.20 的概率為86%(圖4)。對比圖3-圖4,可見兩型樣品水分滲透指數差異顯著,置信度95%水平評估I值相差近一倍。

圖3 硅酮型水滲透指數分布及合格概率
3.2.3.粘結寬度對I值的影響
增加粘結寬度提高邊緣粘結的
承載力,增加透濕路徑的長度(圖1),有利于降低中空玻璃水分滲透指數。試驗樣品粘接尺寸檢測結果基本在標準規定范圍。依據試驗結果統計內外層密封膠粘接寬度與I值相關性,分析結果如下。
1)外道密封膠粘結寬度與I值的關系

圖4 聚硫型水滲透指數分布及合格概率
聚硫型樣品19組,外道密封粘結寬度(密封厚度)均值7.11 mm,方差0.65mm;硅酮型樣品18組,粘結寬度均值6.95 mm,方差0.83mm。可見粘結厚度水平相當。以樣品粘結厚度為自變量對I值作圖,線性相關系數分別為0.3949和0.0186,表明試驗條件下粘接厚度與I值弱相關(圖5、圖6)。

圖5聚硫密封膠粘結寬度對I值影響mm

圖6硅酮密封膠粘結寬度對I值影響mm

圖5丁基膠粘結寬度對聚硫型樣品I值影響,mm

圖6丁基膠粘結寬度對硅酮型樣品I值影響,mm
2)內道密封膠粘結寬度的影響
聚硫型樣品19組,丁基膠粘結寬度(密封厚度)均值為3.82 mm,方差0.85mm;硅酮型樣品18組,丁基膠粘結寬度均值3.50 mm,方差0.84mm。可見丁基膠粘結尺寸水平相當。分析樣品I值與丁基膠粘結厚度相關性,表明試驗條件下I值隨丁基膠粘結厚度的增加有下降趨勢,相關系數分別為0.6540和0.1141,為中等相關和弱相關(圖7、圖8)。

4.討論
4.1.
硅橡膠分子呈螺旋狀結構,自由空間大,具有良好的氣體及水蒸氣
透過率,這一特性被廣泛用于氣體分離及水蒸氣分離 。硅酮密封膠是以端羥基聚二
甲基硅氧烷為基礎(如HO(Me2SiO)nH)的縮合型
室溫硫化硅橡膠,主鏈為聚二甲基硅氧烷,交聯
密度低,水蒸氣透過率高于聚硫、
聚氨酯等基礎的密封膠。硅酮型密封膠的水蒸氣透過率約20g/m2.d,聚硫型密封膠低于10g/m2.d 。中空玻璃的水滲透指數與外道密封膠的類型相關,同比條件下硅酮型較聚硫型高出近一倍,這一試驗結果與基礎
聚合物透濕性差異關系密切。
4.2.以干燥劑吸水質量變化為基礎的加速耐久性試驗方法,適用于中空玻璃耐久性評估和產品質量控制。德國DIN 1286-1標準采用該方法對中空玻璃產品分級 。采用該試驗原理進行大氣曝曬中空玻璃的性能研究,結果表明同條件試驗時水滲透率隨外道膠的類型出現顯著差異(圖7),聚硫型樣品曝曬3年,滲透水分的質量為0.35g, 5年為0.55g,而硅酮型曝曬3年
滲水0.80g,水滲透量相差一倍 。結果表明,若聚硫型外道密封中空玻璃有25年使用壽命,則硅酮型產品的使用壽命僅有10年,差異與驗證試驗的結果一致。
5.結論
1)加速耐久性試驗是評定中空玻璃密封質量和評估使用壽命的有效方法;
2)粘結寬度在標準范圍內對中空玻璃水滲透率影響不顯著;
3)外道密封膠的類型是影響中空玻璃滲透率的顯著因素。硅酮型密封膠粘結的中空玻璃的水滲透指數遠高于聚硫型,兩者的耐久使用壽命相差近一倍。
致謝:中空玻璃標準修訂驗證試驗報告是本項分析的基礎,在此對GB/T 11944標準編制組主編單位的科學試驗和辛勤勞動致謝!
未經許可,不得轉載!