本文從多角度論述了中國隔熱鋁合金門窗及型材的發展歷程, 結合部分歐洲國家節能標準要求的進展及中國建筑節能標準要求的發展趨勢,從多方面針對隔熱鋁合金窗的性能加以論述,力求在滿足節能標準要求的情況下,合理優化隔熱鋁合金型材的斷面設計及相關性能指標的設計,強調了隔熱鋁合金門窗節能設計的關鍵要素是具有穩定、可靠的產品質量并具有長久的服務壽命。
關鍵詞:隔熱鋁合金門窗、型材、節能優化
建筑節能形式的發展對隔熱鋁合金窗的性能要求
最近一段時間,關于清潔能源和再生能源產品及技術應用得到全世界的關注,而碳經濟的興起.給本就火爆的能源話題又添加了一些動力,導致關注已經達到炙手可熱的程度,中國也出現了風能和太陽能產品的盲目投資和過剩。
綜合而言,就能源利用來講,即使增加再多的投入,如果應用過程中的浪費過多,仍然無法達到預期節約能源的目的,節約能源的根本出路還在于“節約”,因此無論是汽車產品、工業產品還是建筑產品,世界各國都在極力開發新的技術和產品,以滿足節能的需要。同時,從法律角度不斷提高各行業節能要求,以求從法律角度奠定節能要求的規范。
技術角度看,歐洲各發達國家的建筑節能標準要求走在了世界的前列,如德國、英國、西班牙、意大利、波蘭等國家紛紛制定新的建筑節能標準,強化對建筑節能的要求。中國的建筑節能要求在近年來也在逐步提高,已經形成了國家、氣候區域及地方政府的多重標準體系及要求,國家也已經將建筑節能作為考核地方政府的政績考核項目之一,極大地推動了建筑節能在國內的推廣和普及。
隔熱鋁合金窗節能優化設計的途徑和方法
縱觀國內外門窗的發展歷程,整體發展的過程曲線是基本相同的,對隔熱鋁合金門窗而言,型材隔熱條的采用都是經過了12mm、14.8mm、16mm、18mm、18.6mm、20mm、22mm、24mm…..目前歐洲最寬的隔熱條已經應用到44mm,中國的隔熱條應用自1998年以來,應用最多的是14.8mm的隔熱條,雖然隨著節能要求的提高,隔熱條的寬度有增加的趨勢,而且應用的隔熱條寬度也達到了35.3mm,但總體看,國內的型材斷面設計、隔熱條的選用仍然存在認識的誤區,有待從系統設計、產品選用等多方面得到提高。
由于中國地域遼闊,氣候條件復雜,所以門窗性能的設計首先要依據不同區域的氣候特點及門窗應用環境的差異(如圖1),分別重點設計門窗的性能,如:抗風壓性能設計、氣密性能設計、水密性能設計及使用壽命的設計等,在滿足所有對門窗的性能要求的前提下,重點優化設計門窗的隔熱保溫性能和隔聲性能(圖2)。

從門窗型材的斷面結構看,首先要控制幾個要素的設計,這些要素包括:⑴型材主受力部位的壁厚及結構設計,⑵隔熱條的種類、寬度、形狀和材料品種的設計;⑶密封結構形式、密封材料種類、形狀的設計;⑷等壓結構設計及⑸隔熱區域的設計等等。從節能角度講,隔熱型材的節能設計一定要確保型材的隔熱連續設計,這樣既能夠保證型材具有良好的隔熱效果,同時也可以避免在隔熱鋁合金型材不同材料之間產生溫差導致的熱應力,從而對門窗的使用壽命造成不良影響。
依據能量傳遞的三種方式,通過隔熱鋁合金型材傳遞的能量中,約50%是通過傳導傳熱傳遞損失的,約35%是通過對流傳遞損失的,還有約15%是通過輻射傳遞損失的(如圖3。

為了提高隔熱鋁合金型材的隔熱性能,我們通過多種途徑進行模擬計算,得到以下結論:
1. 增加隔熱條寬度,適當降低隔熱條的厚度,能夠獲得型材U值的降低(圖4);
2. 適當降低型材的重量,在滿足強度的前提下降低型材的壁厚能夠獲得型材U值的降低 ;
3. 采用C形隔熱條替代I形隔熱條,由于增加了能量傳導的距離能夠獲得較低的型材Uf 值(圖5) ;
4. 降低型材外表面積,采用圓形外表面代替方形外表面,能夠降低型材的U值(圖6);
5. 型材斷面傳熱的等溫線設計與熱流方向垂直,所獲得的型材的U值最低(圖7);
6. 經在寬隔熱條中間填充泡沫或采用帶翅的隔熱條能夠降低型材的U值 ;但是,在小的隔熱區域采用帶翅的隔熱條不能降低U值,所以不建議在16mm以下寬度使用帶翅的隔熱條 。

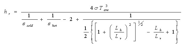
隨著熱工計算方法標準《JGJT 151-2008建筑門窗玻璃幕墻熱工計算規程》在國內的普及和推廣,隔熱鋁合金型材封閉腔體內部的輻射傳熱控制逐步引起業界人士的關注。對比歐洲的型材設計,由于隔熱鋁合金型材的復合加工方式不同(歐洲先穿條后做表面噴涂,中國是先做噴涂后做隔熱型材復合),導致在隔熱區域內,隔熱條兩側鋁型材表面輻射率從0.2上升為0.9,依據封閉空腔的輻射傳熱計算公式: 
致使隔熱條兩側鋁型材表面輻射傳熱增強,降低型材的保溫隔熱性能。因此,為了提高隔熱鋁合金門窗保溫性能,改變隔熱型材復合的加工方式,將先噴涂后復合的生產方式改變為先復合后噴涂的加工方式,成為未來隔熱鋁合金型材生產的主導加工方式 長久的服務壽命和穩定的質量是隔熱鋁合金門窗節能的關鍵要素 近些年,業主和開發商對門窗投訴最多的項目包括門窗開啟不靈活、門窗漏水和窗戶室內表面節露等問題,對于這些投訴,經過多次現場勘察和檢測,發現除門窗企業加工制作工藝控制不良、安裝不規范等是主要原因外,也有隔熱鋁合金型材的隔熱斷橋材料選用不當有關。因為隔熱斷橋在隔熱鋁合金窗的整體構成中,隔熱條不僅是連接件,還是十分關鍵的結構件!一些企業往往忽視這個因素,選用一些PVC隔熱條或者其他材質的隔熱條,以圖降低型材的造價,但是往往產生的效果就是窗框型材在應用過程中由于高溫而導致型材出現變形(見圖8)、門窗漏水(圖9)等現象。

分析造成這種現象的原因,主要包括以下幾個方面: ⒈ 隔熱條尺寸精度存在嚴重偏差,導致與鋁合金型材復合后產生機械應力,一旦與其他應力如熱應力等組合,最終將導致型材彎曲和變形,或者出現復合過程中型材局部位置隔熱條因擠壓過緊出現裂縫(見圖10),從而密封不嚴,出現開啟不靈和漏水等現象;

2. 隔熱材料在型材受陽光直射溫度升高(80℃)出現變形,導致型材在熱應力作用下出現彎曲變形,甚至出現隔熱材料與型材脫開,最終導致門窗框變形而漏水(圖11)。

3. 隔熱材料內部由于加工過程控制不嚴密,而存在氣泡和雜質,導致在受力作用時出現斷裂,而出現鋁合金型材變形而漏水。
因此,為了保證隔熱鋁合金窗具有長久的服務壽命,保證隔熱鋁合金門窗行業健康、有序地持續發展,強化隔熱材料的質量,優化隔熱型材的斷面設計,是維系隔熱鋁合金門窗行業發展的關鍵因素。
縱觀世界鋁合金門窗行業的發展,只要嚴格控制產品質量、優化產品的結構設計,鋁合金門窗行業就獲得了持續的發展,反之,就也可能會出現類似我國90年代初期那樣,被某些類型的產品所替代!
進入21世紀,隨著全球氣候變暖,很多生物面臨著滅絕的危境,全世界已經行動起來,發展低碳經濟,發展、利用再生能源,大力促進各行業進行節能改造,愿我們門窗行業的同仁也能夠行動起來,為了挽救地球貢獻自己的智慧。
由于本人知識結構有限,本文所表達的觀點難免有不周之處,本人謹希望與業界同仁共同商榷! 與【】相關熱點資訊: 【了解更多 “” 相關信息請訪問 幕墻專區 】 
|